观墨云官方关注 2022-08-03 10:30:58 浏览2064次
毕业生线上作品展



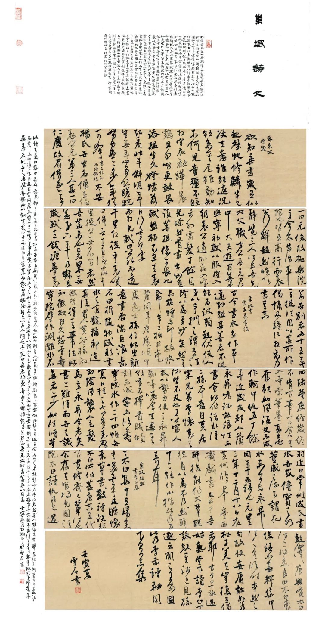
作品名称:行书《东坡诗文》
作品尺寸:240x118cm
指导老师:蒋全顺


作品名称:篆书《清代题画诗》
作品尺寸:300×121cm
指导老师:贺文彬


作品名称:篆刻《抱愈斋朱迹选》
作品尺寸:180x40cm
指导老师:周雪婷

04

作品名称:隶书《裴将军诗》
作品尺寸:230x137cm
指导老师:谷重


作品名称:行书《题画诗十首》
作品尺寸:100x270cm
指导老师:谢友国


作品名称:篆书《韩愈诗选》
作品尺寸:136×252cm
指导老师:谢友国


作品名称:篆书《篆势》
作品尺寸:96*270cm
指导老师:肖敦兵


作品名称:隶书《上林赋节选》
作品尺寸:105×275cm
指导老师:贺文彬


作品名称:篆书《陈昭题名》
作品尺寸:280*95cm
指导老师:蒋全顺


作品名称:楷书《节录广艺舟双楫》
作品尺寸:180*97cm
指导老师:彭建成

作品名称:行书《节录黄帝内经》
作品尺寸:100*248cm
指导老师:谷重


作品名称:篆书《张怀瓘书断节选》
作品尺寸:240×118cm
指导老师:蒋传存


作品名称:隶书《隶势》
作品尺寸:230x129cm
指导老师:谷重


作品名称:隶书《王羲之书论》
作品尺寸:290×150cm
指导老师:李国清


作品名称:隶书《正气歌》
作品尺寸:136×283cm
指导老师:周雪婷


作品名称:草书《黄庭坚诗一首》
作品尺寸:348×126cm
指导老师:贺文彬


作品名称:篆书《送马东阳马生序节选》
作品尺寸:144*282cm
指导老师:李国清


作品名称:隶书《过故人庄》
作品尺寸:126*230cm
指导老师:贺文彬


作品名称:篆书《书醉僧图》
作品尺寸:180×96cm
指导老师:彭建成


作品名称:篆书《项穆书法雅言节选》
作品尺寸:155*290cm
指导老师:李国清


作品名称:篆书《蔡邕书论节选》
作品尺寸:159*298cm
指导老师:蒋全顺


作品名称:篆书《陶渊明诗选录》
作品尺寸:136×281cm
指导老师:杨金榜


作品名称:篆刻《建辉朱迹》
作品尺寸:138ⅹ68cm
指导老师:蒋传存


作品名称:篆书《答陶隐居论书》
作品尺寸:145*230cm
指导老师:蒋传存


作品名称:隶书《苏轼论书一则》
作品尺寸:110*275cm
指导老师:贺文彬


作品名称:楷书《笔髓论》
作品尺寸:25*35cm册页
指导老师:彭建成


作品名称:篆书《契妙节选》
作品尺寸:180*98cm
指导老师:贺文彬


作品名称:楷书《桃花源记》
作品尺寸:180*97cm
指导老师:蒋全顺


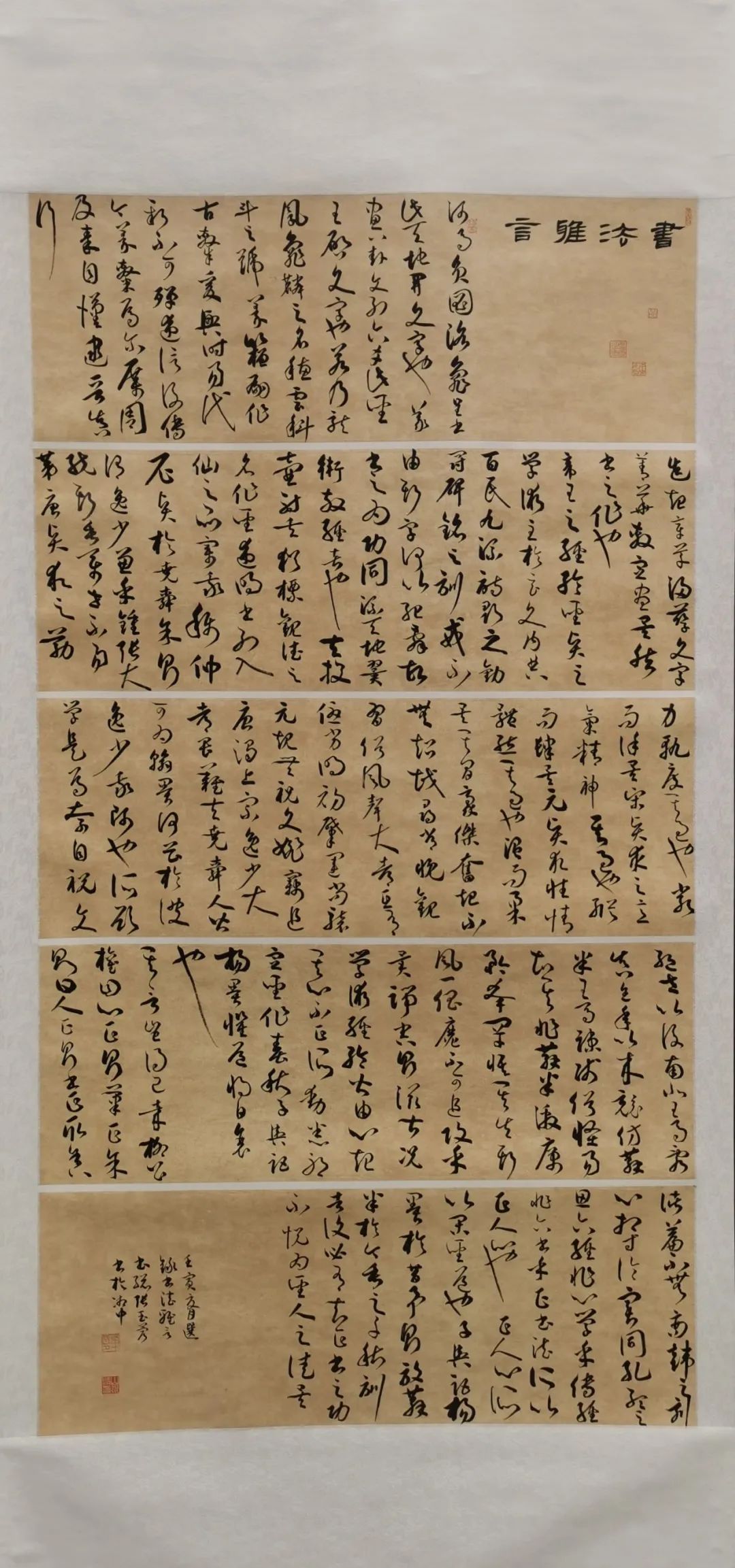
作品名称:楷书节选项穆《书法雅言》
作品尺寸:180*97cm
指导老师:肖敦兵


作品名称:草书《山谷题拔选录》
作品尺寸:225×98cm
指导老师:贺文彬


作品名称:楷书《秋声赋》
作品尺寸:220×80cm
指导老师:贺文彬


作品名称:篆书《李白诗四首》
作品尺寸:178×96cm
指导老师:肖敦兵


作品名称:篆书《快雨堂题跋》数则
作品尺寸:180*97cm
指导老师:谷重


作品名称:楷书《九势》
作品尺寸:六寸
指导老师:谷重


作品名称:楷书《海岳名言》节选
作品尺寸:84×225cm
指导老师:蒋传存


作品名称:行书《临池管见》节选
作品尺寸: 六尺整张
指导老师:蒋传存


作品名称:行书《广艺舟双楫》节选
作品尺寸:册页25cm*35cm,12页
指导老师:蒋传存


作品名称:楷书《纪泰山铭》
作品尺寸:六尺整张
指导老师:蒋传存


作品名称:楷书《说文解字序》节选
作品尺寸:180×80cm
指导老师:钟霖汐


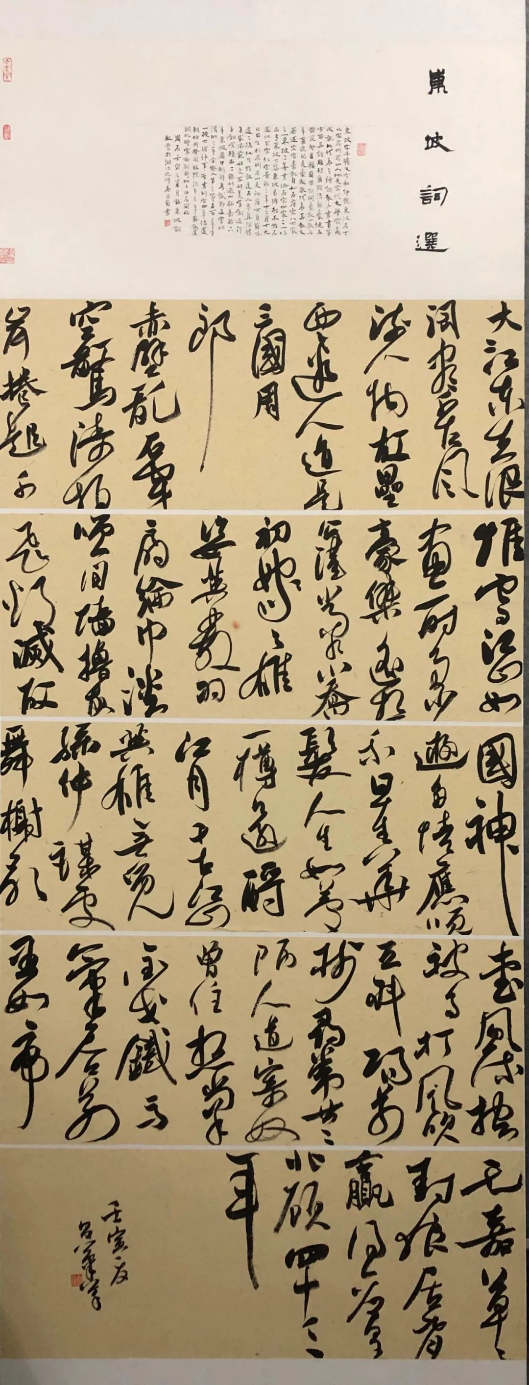
作品名称:行草《东坡词选》
作品尺寸:90*240cm
指导老师:钟霖汐


作品名称:草书《世说新语》
作品尺寸:册页24张
指导老师:钟霖汐


作品名称:篆书《苏轼诗词节选》
作品尺寸:210×210cm
指导老师:钟霖汐


作品名称:篆书《柳永选词》
作品尺寸:小八尺三条拼接
指导老师:贺文彬


作品名称:草书《史记·礼书》
作品尺寸:69.5*238cm
指导老师:钟霖汐


作品名称:草书《书法雅言节选》
作品尺寸:六尺五条拼接
指导老师:谢友国


作品名称:楷书《袁枚诗选》
作品尺寸:册页35cm×25cm
指导老师:周雪婷


作品名称:行书《海岳题跋节选》
作品尺寸:180×96cm
指导老师:谢友国


作品名称:楷书《书断节选》
作品尺寸:六尺条
指导老师:杨金榜


作品名称:楷书《滕王阁序》节选
作品尺寸:六尺条幅两张
指导老师:杨金榜


作品名称:隶书《相逢行二首》
作品尺寸:六尺对开
指导老师:杨金榜


作品名称:篆书《庐山谣寄卢侍御虚舟》
作品尺寸:六尺
指导老师:贺文彬


作品名称:楷书《广艺舟双楫》
作品尺寸:六尺
指导老师:谢友国

作品名称:篆书《形影神赠答诗》
作品尺寸:八尺
指导老师:周雪婷


作品名称:行书《人文校风、校训、校歌》
作品尺寸:六尺
指导老师:周雪婷



作品名称:行书《筆意贊》
作品尺寸:六尺
指导老师:杨金榜


作品名称:隶书《论书二则》
作品尺寸:六尺
指导老师:周雪婷


作品名称:行书《春江花月夜》
作品尺寸:六尺
指导老师:谢友国

作品名称:行草《山谷题跋》
作品尺寸:六尺
指导老师:杨金榜


作品名称:篆书《菜根谭》
作品尺寸:册页50*35
指导老师:钟霖汐


作品名称:隶书《负郭传家联》
作品尺寸:180*80cm
指导老师:谷重


作品名称:草书《画禅室随笔》节选
作品尺寸:八尺条幅
指导老师:蒋全顺
书法学教研室